Strona główna >
Matematyka >
Geometria przestrzenna > Czworościan foremny, objętość, pole, wysokość, kąty, zadania
Czworościan foremny, objętość, pole, wysokość, kąty
Czworościan foremny - objętość
Czworościan foremny - pole powierzchni całkowitej
Kąty czworościanu foremnego
Kąt między krawędzią a ścianą do której nie należy ta krawędź:

Kąt między płaszczyznami zawierającymi ściany czworościanu:
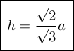
Wysokość czworościanu foremnego
Promień kuli opisanej na czworościanie foremnym
Promień kuli wpisanej w czworościan foremny
Wyprowadzenie wzoru na objętość
Czworościan foremny jest ostrosłupem, dlatego jego objętość jest równa:
Podstawą czworościanu foremnego jest trójkąt równoboczny o boku a. Zatem pole podstawy jest równe:
Wysokość czworościanu tworzy z jego krawędzią i odcinkiem zawartym w jego podstawie następujący trójkąt prostokątny:
Korzystając z
twierdzenia Pitagorasa można wyznaczyć
wysokość h czworościanu foremnego:

Stąd
wzór na objętość czworościanu foremnego ma postać:
Czworościan foremny - siatka
Zobacz artykuły, które mogą Cię zainteresować:
Dodaj komentarz do artykułu.
Komentarze użytkowników (5)
2012-06-11 23:50:42 hehehe napisał(a):bardzo dobre - przyda się na jutrzejszym spr ;)
2013-04-07 20:43:37 arti napisał(a):oblicz Pc i V czworościanu foremnego, w którym pole podstawy wynosi 9 pierwiastków z 3 ;) z góry dziękuję !
2013-04-07 21:55:25 BazyWiedzy.COM napisał(a):Oto rozwiązanie.
2013-05-09 21:02:01 Piotrrr napisał(a):Czworościan foremny ma objętość 2 pierwiastki z 2. Jaką długość ma krawędź tego czworościanu ? Z góry dziękuje za odpowiedź ;)
2013-05-09 21:56:55 Piotrrr napisał(a):Ok, poradziłem już sobie za pomocą wyżej zamieszczonych wzorów, aczkolwiek nie rozumiem jednego, skąd ta zależność ?